Flux: Flux is given by energy/time (photons/sec, or watts), emitted from a light source or slit of given area, into a solid angle (Q) at a given wavelength (or bandpass).
Intensity (I): The distribution of flux at a given wavelength (or bandpass) per solid angle (watts/steradian).
Radiance (Luminance) (B): The intensity when spread over a given surface. Also defined as B = Intensity/Surface Area of the Source (watts/steradian/cm2).
Typical Monochromator System.
S = area of source
S' = area of entrance slit
S" = area of mirror M1
S* = area of exit slit
Ω = half angle of light collected by L1
Ω' = half angle of light submitted by L1
Ω" = half angle of light collected by M1
Ω* = half angle of light submitted by M2
L1 = lens used to collect light from source
M1 = spherical collimating Czerny-Turner mirror
M2 = spherical focusing Czerny-Turner mirror
AS = aperture stop
LS = illuminated area of lens L1
p = distance from object to lens L1
q = distance from lens L1 to image of object at the entrance slit
G1 = diffraction grating
Geometric etendue (geometric extent), G, characterizes the ability of an optical system to accept light. It is a function of the area, S, of the emitting source and the solid angle, Q, into which it propagates. Etendue therefore, is a limiting function of system throughput.
(40) d2G = dS.dQ
(41) G = ∫∫ dS.dQ
Follow formula shows integration for a conical beam the axis of which is normal to source of area S (see Fig. 30).
(42) G = πΣsin2Ω
Etendue is a constant of the system and is determined by the LEAST optimized segment of the entire optical system. Geometric etendue may be viewed as the maximum beam size the instrument can accept, therefore, it is necessary to start at the light source and ensure that the instrument including ancillary optics collects and propagates the maximum number of photons.
From Equation (42), etendue will be optimized if
(43) G = πSsin2Ω = πS’sin2Ω’= πS”sin2Ω”= πS*sin2Ω*
A somewhat simpler approximation may be used if the spectrometer f/value is slower than f/5, f/6, f/7, etc.).
Then,
(44) G ≈ S x Q
Where

The following is used instead of Equation 3-5:

This approximation is good when tan Ω ~ sin Ω ~ (radians). The error at f /5 ~ 1% and at f /1 ~ 33%. Since numerical aperture = π sin Ω = NA, then:
(47) G ≈ π S (NA)2
This form is very useful when working with fiber optics or microscope objectives.
h = height of entrance slit (mm)
w = entrance slit width bandpass/dispersion (mm)
F = focal length LA (mm)
n = groove density of grating (g/mm)
GA = illuminated grating area (mm2)
Sg = projected illuminated area of grating = GA x cos alpha (mm2)
k = order
BP = bandpass (nm)
SES = area of entrance slit (mm2)
The area of entrance slit SES = w x h (refer to Equation (37))
where:

Therefore,

To calculate etendue, G,
(50) G ≈ SES x Q
and

then

Relative system throughput is, therefore, proportional to:
The ratio h/F implies that the etendue may be increased by enlarging the height of the entrance slit. In practice this will increase stray light and may also reduce resolution or bandpass resulting from an increase in system aberrations.
Flux is given by radiance times etendue:
(53) Φ = B x G
(54) Φ = B π S’sin2Ω’
where B is a function of the source, S' is the area of the entrance slit (or emitting source), and Ω', is the half cone angle illuminating the spectrometer entrance slit.
Because flux, etendue, and radiance must be conserved between object and image, assuming no other losses, the above terms are all we need to determine the theoretical maximum throughput.
First, calculate the etendue of the light source given that:
The fiber has a core diameter of 50 μm and emits light with a NA = 0.2 where the area of the fiber core is:
(55) S = πr2 = π(0.025)2=1.96×10-3 mm2
then
(56) G = πS(NA)2 = π(1.96×10-3)(0.2)2
Therefore, etendue of the light source G = 2.46 × 104
Next, calculate the etendue of the spectrometer assuming a bandpass of 0.5 nm at 500 mm:
n = 1800 g/mm (Given)
k = 1 (Given)
DV = 24° (Given)
LA = F = LB = 320 mm (Given)
GA = 58 × 58 mm ruled area of the grating (Given)
α500nm = 15.39° (From Eqn. (19))
β500nm = 39.39° (From Eqn. (2))
f/value of spectrometer = f/5 (From Eqn. (28))
NA of spectrometer = 0.1 (From Eqn. (21))
f/value of fiber optic = f/2.5 (From Eqn. (21))
NA of fiber optic = 0.2 (Given)
h = to be determined
Calculate operating slit dimensions:
Entrance slit width, w, from Equation (48).

From (32) exit slit = w = 0.3725 mm
In this case, we shall keep the entrance slit height and exit slit height at 0.2987 mm.
The etendue of the spectrometer is given by Equation (52).
Then,

Consequently, the etendue of the light source (2.46 × 10-4) is significantly less than the etendue of the spectrometer (2.83 × 10-3).
If the fiber was simply inserted between the entrance slit jaws, the NA = 0.2 of the fiber would drastically overfill the NA = 0.1 of the spectrometer (f/2.5 to f/5) both losing photons and creating stray light. In this case the SYSTEM etendue would be determined by the area of the fiber's core and the NA of the spectrometer.
The point now is to re-image the light emanating from the fiber in such a way that the etendue of the fiber is brought up to that of the spectrometer thereby permitting total capture and propagation of all available photons.
This is achieved with the use of ancillary optics between the fiber optic source and the spectrometer as follows:
(NA)in = NA of Fiber Optic
(NA)out = NA of Spectrometer
then:
G = πS (NA)2in = nS’(NA)2out

and

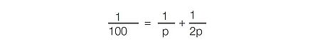
The thin lens equation is


Where F in this case is the focal length for an object at infinity and p and q are finite object and image coordinates. Taking a 60 mm diameter lens as an example where F = 100 mm,
then:

Substituing in Equation (58)

After solving, p = 150 mm and q = 300 mm but

then d = 300 × 0.2 = 60 mm.

then d = 150 × 0.4 = 60 mm
Therefore, the light from the fiber is collected by a lens with a 150 mm object distance, p, and projects an image of the fiber core on the spectrometer entrance slit 300 mm, q, from the lens. The f/values are matched to both the light propagating from the fiber and to that of the spectrometer. The image, however, is magnified by a factor of 2.
Considering that we require an entrance slit width of 0.2987 mm to produce a bandpass of 0.5 nm, the resulting image of 100 μm (2 × 50 μm core diameter) underfills the slit, thereby ensuring that all the light collected will propagate through the system. As a matter of interest, because the image of the fiber core has a width less than the slit jaws, the bandpass will be determined by the image of the core itself. Stray light will be lessened by reducing the slit jaws to perfectly contain the core's image.
An “extended light source” is one where the source itself is considerably larger than the slit width necessary to produce an appropriate bandpass. In this case, the etendue of the spectrometer will be less than that of the light source.
Using a Hg spectral lamp as an example of an extended source, the etendue 1 s as follows:
Area of source = 50 mm (height) x 5 mm (width) (Given) = 250 mm2
Ω = 90°
Then, G = πS sin2Ω= π250 sin290°= 785.4
Assuming the same spectrometer and bandpass requirements as in the fiber optic source example (43) the slit widths and etendue of the spectrometer will also be the same as will the spectrometer etendue. Therefore, the etendue of the light source is drastically larger (785 compared to 2.8 × 10-3) than that of the spectrometer.
Because the etendue of the system is determined by the segment with the lowest etendue, the maximum light collection from the light source will be governed by the light gathering power of the spectrometer. In the previous example the entrance slit height (h) was taken as 0.2987 mm. With an extended source, however, it is possible to use a greater slit height, so in this case we will take entrance and exit slit heights of 3 mm (even higher slits may be possible, but stray light is directly proportional to slit height).
The spectrometer etendue, therefore, increases from 4.7 × 10-3 to 4.7 × 10-2
This then will be the effective etendue of the system and will govern the light source. The best way to accommodate this is to sample an area of the of the Hg lamp equivalent to the entrance slit area and image it onto the entrance slit with the same solid angle as that determined by the diffraction grating (Equation (51)).
To determine the geometric configuration of the entrance optics take the same 60 mm diameter lens (L1) with a 100 mm focal length as that used in the previous example.
We know that the entrance slit dimensions determine the area of the source to be sampled, therefore, SES = area of the source S.
The source should be imaged 1:1 onto the entrance slit, therefore, magnification = 1.
Taking the thin lens equation:

Where

p = 2F and q = 2F
The Hg lamp should be placed 200 mm away from lens L1 which in turn should be 200 mm from the entrance slit.
The diameter required to produce the correct f/value is then determined by the spectrometer whose f/value = 5.
Therefore d = 200 / 5 = 40 mm
The 60 mm lens should, therefore, be aperture stopped down to 40 mm to permit the correct solid angle to enter the spectrometer. This system will now achieve maximum light collection.
Assume: The image of the source overfills the entrance slit.
wi = original entrance slit width (e.g., 100 μm)
wo = exit slit width (original width of entrance slit image, e.g., 110 μm)
A tungsten halogen lamp or a spectrum where line widths are significantly greater than instrumental bandpass (this is often the case in fluorescence experiments).
For example, a tungsten halogen lamp or a spectrum where line widths are significantly greater than instrumental bandpass (this is often the case in fluorescence experiments).
Throughput will vary as a function of the product of change in bandpass and change in etendue.
Case 1: Double the entrance slit width, wi, but keep exit slit unchanged, therefore:
entrance slit = 2wi ( 200 μm)
exit slit = wo (110 μm)
Etendue remains the same (determined by exit slit).
Bandpass is doubled.
Throughput is doubled.
Case 2: Double the exit slit width, wo, but keep entrance slit unchanged, therefore:
entrance slit = wi (100 μm)
exit slit = 2wo ( 220 μm)
Etendue remains the same (determined by entrance slit).
Bandpass is doubled.
Throughput is doubled.
Note: Doubling the exit slit allows a broader segment of the spectrum through the exit and, therefore, increases the photon flux.
Case 3: Double both the entrance and exit slit widths, therefore:
entrance slit = 2wi (200 μm)
exit slit = 2wo (220 μm)
Etendue is doubled.
Bandpass is doubled.
Throughput is quadrupled.
Discrete spectral source
A light source that will produce a number of monochromatic wavelengths is called a discrete spectral source.
In practice, an apparently monochromatic line source is often a discrete segment of a continuum. It is assumed that the natural line width is less than the minimum achievable bandpass of the instrument.
Throughput then varies as a function of change in etendue and is independent of bandpass.
Case 1: Double the entrance slit width, wi, but keep exit slit unchanged, therefore:
entrance slit = 2wi (200 μm)
exit slit = wo (110 μm)
Etendue remains the same (determined by exit slit).
Bandpass is doubled.
Throughput remains the same.
Case 2: Double the exit slit width, wo, but keep entrance slit unchanged, therefore:
entrance slit = wi (100 μm)
exit slit = wo (220 μm)
Etendue remains the same (determined by entrance slit).
Bandpass is doubled.
Throughput remains the same.
Note: For a discrete spectral source, doubling the exit slit width will not cause a change in the throughput because it does not allow an increase of photon flux for the instrument.
Case 3: Double both the entrance and exit slit widths, therefore:
entrance slit = 2wi (200 μm)
exit slit = 2wo (220 μm)
Etendue is doubled.
Bandpass is doubled.
Throughput is doubled.
Do you have any questions or requests? Use this form to contact our specialists.
